液體轉子流量計工作原理
液體轉子流量計用以測量單相非脈動流體(液體或氣體 ) 的流量,廣泛應用于化工、石油、輕工、醫藥、環保、食品及計量測試、科學研究等部門.
1、液體轉子流量計的工作原理
液體轉子流量計是利用改變流通面積原理的流量計:(面積式)
管道中的流體在流動遇到阻擋時,會在阻擋物前后形成一個壓力差,這個壓力差的大小與流體受到阻擋時的流通面積以及流速相關,利用這個壓力差來推動一個可移動的阻擋物隨流量變化而移動并改變流通面積,使阻擋物前后的壓力差保持一個常數,這時阻擋物所處的位置與流速相關,由此可得到流速,并進而獲得流量值。

2、液體轉子流量計組成與流量測量原理
液體轉子流量計,是由一個自下往上逐漸擴大的帶刻度的錐形管和一個置于錐形管內可以自由上下移動的轉子構成。工作時,被測流體由錐形管下端進入,沿著錐形管向上運動,流過轉子與錐形管之間的環隙,再從錐形管上端流出。受流動流體帶動作用,轉子受到一個自下向上流體對轉子的動壓力,正好等于轉子在被測流體中的重力(即轉子自身的重力減去流體對轉子的浮力)。

垂直安裝流量計時,轉子重心就在錐形管中心軸線上,轉子所受的三個力都平行于中心軸線。當受力平衡時,轉子就穩定在錐管內某一位置上。對于給定的液體轉子流量計,轉子的材料、大小和形狀都可確定,所以轉子在被測流體中的重力是已知的,只有流體對轉子的動壓力是隨流體流速大小而變化的。因此當流體流速變大或變小時,轉子受到的動壓力增大或減小,轉子將作向上或向下的移動,轉子與錐形管壁之間的環隙面積也發生變化,即流動截面積也發生變化,待變化到某速轉子受力平衡時,轉子就穩定在新的位置上。對于一臺給定的液體轉子流量計,轉子在錐管中平衡位置的高低反應了被測流體流經錐形管的流量大小。
3、液體轉子流量計的流量方程推導
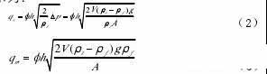
液體轉子流量計中當轉子穩定時,對轉子進行受力分析:

其中:ρt為轉子的密度;ρf為流體的密度;V 為轉子的體積;Δp 為轉子前后的壓差(常數);A 為轉子的***大截面積。轉子和錐形管間的環隙面積相當于節流式流量計的節流面積,但它是變化的,并與轉子高度 h成近似的線性關系,因此,液體轉子流量計的流量可以表示為:

式中,ф 為儀表常數;h 為轉子浮起的高度。由于液體轉子流量計在生產中進行刻度的時候,通常選擇在工業基準狀態(20℃,0.10133Mpa)下用水或者空氣進行標定的。所以,在實際使用時,如果被測介質的密度和工作狀態與刻度時的不一致,就必須對流量指示值按照實際被測介質的密度、溫度、壓力等參數的具體情況進行修正。
①液體流量測量時的修正
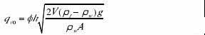
由于測量液體的液體轉子流量計是在常溫 20℃下用水標定的,根據式(1)可寫為:

式中,qv0為用水標定時的流量刻度;ρw是水的密度。
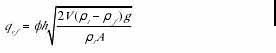
如果被測介質不是水,則需要對流量刻度進行重新修正.如果被測介質的黏度和水的黏度相差不大,可以近似認為 ф 是常數,有

式中,qvf為被測介質的實際流量;ρf是被測介質的密度。
式(5)和式(4)相除,整理后得:

②氣體流量測量時的修正
當采用液體轉子流量計進行氣體流量測量時,對其流量值也要進行修正,除了被測介質的密度進行修正之外,還需要對被測介質的工作溫度和壓力進行修正。當已知儀表的顯示刻度為 qv0,則被測介質的實際流量(工業基準狀態)可按下式修正,即:

式中,qvf為被測介質的實際流量;ρ0和 ρf是空氣和被測介質在標準狀態下的密度;Pf和 Tf分別為被測介質的壓力和熱力學溫度;P0和T0分別為標準狀態下的壓力和熱力學溫度(P0=0.10133Mpa,T0=293K);qv0為刻度流量值。
上一篇:轉子液體流量計種類與使用范圍
下一篇:液體轉子流量計接線圖


