影響制藥廠污水流量計計量精度的因素有哪些
點擊次數:3002 發布時間:2021-08-19 07:57:33
液體計量長輸管道具有運行壓力高、輸氣量大、輸送距離長的特點,在液體計量貿易交接方面對流量計的準確性要求較高。氣體制藥廠污水流量計具有量程比寬、壓力損失小、無可動部件、適用于大口徑管道等特點,較好地滿足了液體計量長輸管道的計量需求,在中國液體計量長輸管道領域得到了廣泛應用。制藥廠污水流量計量系統與其他計量儀表一樣,在實際的生產應用中會受到各種因素的干擾,因而影響儀表計量的準確性。
1 制藥廠污水流量計工作原理
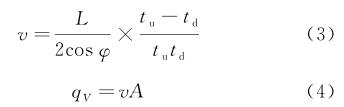
制藥廠污水流量計為獨立測量設備,由多個位于管線內壁的超聲傳感器組成。傳感器由緊固機械裝置插入管道中,超聲脈沖被 2 個傳感器交替地發射和接收。由于電磁在逆流和順流情況下的傳輸時間 tu 和 t d 不同,通過時差法可以計算得到流體流速,工作原理如圖 1 所示。制藥廠污水流量計還可以配置成雙向計量模式,精度不變。

當順流傳播時,電磁傳輸時間為
t d = L /( C + v cos)(1 )
當逆流傳播時,電磁傳輸時間為
t u = L /( C - v cos )(2 )
由式(1 ),( 2 )聯立推導出流體流速和流量的計算公式如下:

式中: C 電磁在靜態氣體中的聲速,340m / s ;q V流體在管道中的工況流量, m3/ h ; A 管道橫截面積,
m2 ;v 氣體的流速, m / s 。
標準狀況下瞬時流量為

式 中: qV n 標 準 狀 況 下 瞬 時 流 量, m3 /h ;
q V f 工作狀況下瞬時流量, m3 /h ;
p n 標準
狀況下絕對壓力, MPa ,其值為 0.101 325 MPa ;
p f 工作狀況下絕對壓力, MPa ;
T n 標準狀況下熱力學溫度, K ,其值為293.15K ;
T f 工作條件下熱力學溫度, K ;
Z n 標準條件下壓縮系數;Z f工作條件下壓縮系數。
2 液體計量電磁計量系統的組成
氣體制藥廠污水流量計量系統一般由壓力變送器、溫度變送器、制藥廠污水流量計、氣體組分分析儀以及流量計算機等五部分組成。壓力、溫度變送器采集實時的壓力、溫度信號,制藥廠污水流量計本體是整個計量系統的核心部分,通過測量計算液體計量的流速進而得到液體計量的工況流量,氣體組分分析儀通過分析氣體的組分以確定液體計量的壓縮因子,流量計算機將采集到的壓力、溫度、工況流量、氣體組分信息進行運算分析,得到標準狀況下的氣體流量,并保存相應的流量歷史數據。
3 影響制藥廠污水流量計量準確性的主要因素
制藥廠污水流量計量系統計量的準確性既與制藥廠污水流量計本體有關,也和壓力、溫度測量儀表、色譜分析儀以及流量計算機等設備的可靠性有直接關系。此外,在員工操作、環境影響、設計選型、設備安裝等方面也會一定程度影響制藥廠污水流量計量的準確性,其影響因素復雜多樣。電磁計量系統計量準確性影響因素關聯關系如圖2所示。在實際生產應用中,對制藥廠污水流量計量準確性造成較大影響的主要是噪音、液體計量雜質、氣體組分分析以及壓力、溫度測量這四個方面。

3. 1 噪 音
液體計量輸氣站場中由于氣流速度快,彎頭、閥門等各類阻流管件的存在,會產生一定的噪聲,在計量裝置設計和安裝的時候已經充分考慮。但是現場因為工況條件的變化,如流量、壓力和溫度等,壓縮機不同功率下的噪聲震動等不能預見的各類因素產生的噪聲仍然使制藥廠污水流量計在現場使用過程中受到噪聲的影響。制藥廠污水流量計對降壓元件產生的噪聲尤其敏感,甚至有些低噪聲閥門比調壓閥對制藥廠污水流量計產生的影響還要大,這是因為采用了低噪聲技術的閥門將噪音頻率調整至人耳聽力不敏感的高頻范圍(20kHz )以上,該頻率范圍恰好與制藥廠污水流量計超聲頻率重合,對制藥廠污水流量計造成較大影響。
3. 2 液體計量雜質
液體計量流過制藥廠污水流量計時,水、硫化鐵粉末等雜質逐漸堆積在流量計表體管道內或電磁探頭上,都會影響制藥廠污水流量計的準確度,附著在電磁探頭表面的雜質縮短了電磁在管道內的傳輸時間,影響了電磁探頭的敏感性,同時由于雜質的附著,計量撬的上游直管段表面粗糙度變化或整流板堵塞引起氣體流態發生變化,從而影響流量計的準確度和穩定性。實驗研究表明:臟污可對某些流量計流量輸出帶來0. 3%或更大的偏差。
3. 3 氣體組分
根據制藥廠污水流量計量系統工況流量與標況流量的轉換公式可知,在液體計量貿易計量中需要利用壓縮因子將液體計量的工況流量轉換為標況流量,而工況下的壓縮因子則需利用氣體分析設備,如色譜分析儀等分析結果計算獲得。氣體組分檢測是否準確及時,直接影響著電磁計量系統的計量準確性。在實際生產中,部分場站的氣體分析設備未接入流量計算機,失去了氣體分析設備的主要作用,同時在未配備氣體分析設備的場站也存在著氣體組分更新不及時現象,在多氣源的計量站,影響更為明顯。實驗研究發現:由于輸氣干線組分變化造成超聲流量計的標準參比條件下體積流量偏差*高可達0. 6% 。
3. 4 壓力和溫度的測量
根據制藥廠污水流量計工作原理可知,壓力溫度測量是否準確直接關系著標況流量的運算是否準確。在現實應用中,雖然壓力變送器可在其銘*標明的工作溫度范圍內正常工作,但室外裸露環境中的壓力測量值與進行了防曬保護的壓力變送器測量值的差值可高達18~20kPa 。溫度變送器在現場應用中也會出現保護套管中存在金屬雜質、沙子等現象,使測溫元件不能及時與液體計量達到熱平衡,導致實測溫度值偏低,計量結果偏大。因此,保證壓力和溫度測量儀表的準確、可靠是確保制藥廠污水流量計計量系統的準確度非常重要的方面。
4 解決措施與對策
4. 1 保證工藝安裝符合相應技術要求
對于未建場站,應充分考慮流量計前后直管段長度,評估調壓閥產生的噪聲對流量計的影響,謹慎選用無噪閥門和消聲器。對于已建場站,因流量變化導致調壓閥噪音變化的可考慮利用調壓閥前后的節流截止閥分級調壓,降低噪音頻率,或者改變噪音傳播通道,利用調壓計量間的匯管、彎頭等增加噪音損耗。條件允許時,可進行工藝改造,在流量計前加裝流量調整器,將調壓閥調整至流量計后,以消除噪音影響。
4. 2 加強制藥廠污水流量計的檢測與維護
制藥廠污水流量計具有自診斷功能,目前絕大部分制藥廠污水流量計均配備有專業的診斷軟件,可對流量計的聲速、流速、信噪比、采樣率、增益值等關鍵參數進行監控分析。現場技術人員可利用專業診斷軟件定期對流量計進行運行分析,判斷流量計工作狀態是否良好,掌握換能器臟污情況,制定換能器清洗周期,如流量計內部腐蝕嚴重,應及時重新進行檢定。
4. 3 及時更新氣體組分
在多氣源場站或者輸氣量較大的場站建議配備色譜分析儀等氣體分析設備,并將分析數據實時傳入流量計算機,以保證流量計算機所測組分為管道內液體計量的實時數據,同時要加強色譜分析儀的維護,定期利用標氣對在線色譜儀進行標定。對于未配備氣體分析設備的場站要根據離之*近場站的組分分析數據及時進行更新,以*大程度保證其壓縮因子計算的準確性。
4. 4 保證壓力和溫度測量的準確性
在制藥廠污水流量計使用過程中,應對壓力和溫度測量值進行現場核查。可使用壓力、溫度變送器的手操器核查流量計算機內的壓力、溫度變送器示值誤差是否符合精度等級的要求,當發現不滿足時應及時更換或者及時送檢和校準。同時,對于壓力變送器可設置遮陽棚,防止溫度變化對其零位的影響,對于溫度變送器應定期添加導熱油,檢查保護套管內是否有無雜質,防止溫度傳輸的遲滯。
5 結束語
隨著液體計量工業的迅速發展,制藥廠污水流量計在液體計量流量計量領域的應用將會變得越來越廣泛,影響其計量準確性的因素將會隨著制藥廠污水流量計在不同條件下的應用變得越來越復雜多樣,這就需要現場使用維護人員深入分析現場流量計的運行工況,不斷積累現場應用經驗,科學制定相應對策,只有這樣才會進一步提高制藥廠污水流量計的計量準確性。
制藥廠污水流量計在使用中的常見故障及解決辦法
制藥廠污水流量計的方案設計和應用
影響制藥廠污水流量計計量精度的因素有哪些
降低制藥廠污水流量計的外部電磁干擾及電磁兼容性分析
制藥廠污水流量計在有限流動水域浮體結構對水流結構的影響
制藥廠污水流量計在安裝與使用不當造成的故障分析處理
針對不同環境的測量需求制藥污水流量計的分類介紹
制藥污水流量計為復雜的慢流量測量提供了一種新穎的解決方案
智能制藥污水流量計常見故障原因分析與解決辦法
制藥廠污水處理流量計在污水處理中的優勢
制藥污水流量計,測污水流量計
制藥污水流量計,dn80污水流量計
制藥污水流量計,dn100污水流量計
制藥污水流量計,污水流量計量表價格
制藥污水流量計,酸堿污水流量計
制藥污水流量計,電鍍污水流量計
制藥污水流量計,污水流量計量表
制藥污水流量計,腐蝕性污水流量計
地下管道中的制藥廠污水管道流量計的選型方案分析
制藥污水流量計在廢硫酸回收裝置中流量測量的優勢
制藥廠污水流量計
制藥污水流量計,dn250污水流量計廠家
制藥污水流量計,污水流量計DN40
制藥污水流量計,一體化污水流量計
制藥污水專用流量計傳感器的正確安裝方法
制藥污水處理流量計標定的具體過程及需要注意的事項
制藥廠污水專用流量計的性能特點選用與安裝介紹
制藥污水處理流量計的原理特點與安裝防干擾控制措施
1 制藥廠污水流量計工作原理
制藥廠污水流量計為獨立測量設備,由多個位于管線內壁的超聲傳感器組成。傳感器由緊固機械裝置插入管道中,超聲脈沖被 2 個傳感器交替地發射和接收。由于電磁在逆流和順流情況下的傳輸時間 tu 和 t d 不同,通過時差法可以計算得到流體流速,工作原理如圖 1 所示。制藥廠污水流量計還可以配置成雙向計量模式,精度不變。

當順流傳播時,電磁傳輸時間為
t d = L /( C + v cos)(1 )
當逆流傳播時,電磁傳輸時間為
t u = L /( C - v cos )(2 )
由式(1 ),( 2 )聯立推導出流體流速和流量的計算公式如下:

式中: C 電磁在靜態氣體中的聲速,340m / s ;q V流體在管道中的工況流量, m3/ h ; A 管道橫截面積,
m2 ;v 氣體的流速, m / s 。
標準狀況下瞬時流量為

式 中: qV n 標 準 狀 況 下 瞬 時 流 量, m3 /h ;
q V f 工作狀況下瞬時流量, m3 /h ;
p n 標準
狀況下絕對壓力, MPa ,其值為 0.101 325 MPa ;
p f 工作狀況下絕對壓力, MPa ;
T n 標準狀況下熱力學溫度, K ,其值為293.15K ;
T f 工作條件下熱力學溫度, K ;
Z n 標準條件下壓縮系數;Z f工作條件下壓縮系數。
2 液體計量電磁計量系統的組成
氣體制藥廠污水流量計量系統一般由壓力變送器、溫度變送器、制藥廠污水流量計、氣體組分分析儀以及流量計算機等五部分組成。壓力、溫度變送器采集實時的壓力、溫度信號,制藥廠污水流量計本體是整個計量系統的核心部分,通過測量計算液體計量的流速進而得到液體計量的工況流量,氣體組分分析儀通過分析氣體的組分以確定液體計量的壓縮因子,流量計算機將采集到的壓力、溫度、工況流量、氣體組分信息進行運算分析,得到標準狀況下的氣體流量,并保存相應的流量歷史數據。
3 影響制藥廠污水流量計量準確性的主要因素
制藥廠污水流量計量系統計量的準確性既與制藥廠污水流量計本體有關,也和壓力、溫度測量儀表、色譜分析儀以及流量計算機等設備的可靠性有直接關系。此外,在員工操作、環境影響、設計選型、設備安裝等方面也會一定程度影響制藥廠污水流量計量的準確性,其影響因素復雜多樣。電磁計量系統計量準確性影響因素關聯關系如圖2所示。在實際生產應用中,對制藥廠污水流量計量準確性造成較大影響的主要是噪音、液體計量雜質、氣體組分分析以及壓力、溫度測量這四個方面。

3. 1 噪 音
液體計量輸氣站場中由于氣流速度快,彎頭、閥門等各類阻流管件的存在,會產生一定的噪聲,在計量裝置設計和安裝的時候已經充分考慮。但是現場因為工況條件的變化,如流量、壓力和溫度等,壓縮機不同功率下的噪聲震動等不能預見的各類因素產生的噪聲仍然使制藥廠污水流量計在現場使用過程中受到噪聲的影響。制藥廠污水流量計對降壓元件產生的噪聲尤其敏感,甚至有些低噪聲閥門比調壓閥對制藥廠污水流量計產生的影響還要大,這是因為采用了低噪聲技術的閥門將噪音頻率調整至人耳聽力不敏感的高頻范圍(20kHz )以上,該頻率范圍恰好與制藥廠污水流量計超聲頻率重合,對制藥廠污水流量計造成較大影響。
3. 2 液體計量雜質
液體計量流過制藥廠污水流量計時,水、硫化鐵粉末等雜質逐漸堆積在流量計表體管道內或電磁探頭上,都會影響制藥廠污水流量計的準確度,附著在電磁探頭表面的雜質縮短了電磁在管道內的傳輸時間,影響了電磁探頭的敏感性,同時由于雜質的附著,計量撬的上游直管段表面粗糙度變化或整流板堵塞引起氣體流態發生變化,從而影響流量計的準確度和穩定性。實驗研究表明:臟污可對某些流量計流量輸出帶來0. 3%或更大的偏差。
3. 3 氣體組分
根據制藥廠污水流量計量系統工況流量與標況流量的轉換公式可知,在液體計量貿易計量中需要利用壓縮因子將液體計量的工況流量轉換為標況流量,而工況下的壓縮因子則需利用氣體分析設備,如色譜分析儀等分析結果計算獲得。氣體組分檢測是否準確及時,直接影響著電磁計量系統的計量準確性。在實際生產中,部分場站的氣體分析設備未接入流量計算機,失去了氣體分析設備的主要作用,同時在未配備氣體分析設備的場站也存在著氣體組分更新不及時現象,在多氣源的計量站,影響更為明顯。實驗研究發現:由于輸氣干線組分變化造成超聲流量計的標準參比條件下體積流量偏差*高可達0. 6% 。
3. 4 壓力和溫度的測量
根據制藥廠污水流量計工作原理可知,壓力溫度測量是否準確直接關系著標況流量的運算是否準確。在現實應用中,雖然壓力變送器可在其銘*標明的工作溫度范圍內正常工作,但室外裸露環境中的壓力測量值與進行了防曬保護的壓力變送器測量值的差值可高達18~20kPa 。溫度變送器在現場應用中也會出現保護套管中存在金屬雜質、沙子等現象,使測溫元件不能及時與液體計量達到熱平衡,導致實測溫度值偏低,計量結果偏大。因此,保證壓力和溫度測量儀表的準確、可靠是確保制藥廠污水流量計計量系統的準確度非常重要的方面。
4 解決措施與對策
4. 1 保證工藝安裝符合相應技術要求
對于未建場站,應充分考慮流量計前后直管段長度,評估調壓閥產生的噪聲對流量計的影響,謹慎選用無噪閥門和消聲器。對于已建場站,因流量變化導致調壓閥噪音變化的可考慮利用調壓閥前后的節流截止閥分級調壓,降低噪音頻率,或者改變噪音傳播通道,利用調壓計量間的匯管、彎頭等增加噪音損耗。條件允許時,可進行工藝改造,在流量計前加裝流量調整器,將調壓閥調整至流量計后,以消除噪音影響。
4. 2 加強制藥廠污水流量計的檢測與維護
制藥廠污水流量計具有自診斷功能,目前絕大部分制藥廠污水流量計均配備有專業的診斷軟件,可對流量計的聲速、流速、信噪比、采樣率、增益值等關鍵參數進行監控分析。現場技術人員可利用專業診斷軟件定期對流量計進行運行分析,判斷流量計工作狀態是否良好,掌握換能器臟污情況,制定換能器清洗周期,如流量計內部腐蝕嚴重,應及時重新進行檢定。
4. 3 及時更新氣體組分
在多氣源場站或者輸氣量較大的場站建議配備色譜分析儀等氣體分析設備,并將分析數據實時傳入流量計算機,以保證流量計算機所測組分為管道內液體計量的實時數據,同時要加強色譜分析儀的維護,定期利用標氣對在線色譜儀進行標定。對于未配備氣體分析設備的場站要根據離之*近場站的組分分析數據及時進行更新,以*大程度保證其壓縮因子計算的準確性。
4. 4 保證壓力和溫度測量的準確性
在制藥廠污水流量計使用過程中,應對壓力和溫度測量值進行現場核查。可使用壓力、溫度變送器的手操器核查流量計算機內的壓力、溫度變送器示值誤差是否符合精度等級的要求,當發現不滿足時應及時更換或者及時送檢和校準。同時,對于壓力變送器可設置遮陽棚,防止溫度變化對其零位的影響,對于溫度變送器應定期添加導熱油,檢查保護套管內是否有無雜質,防止溫度傳輸的遲滯。
5 結束語
隨著液體計量工業的迅速發展,制藥廠污水流量計在液體計量流量計量領域的應用將會變得越來越廣泛,影響其計量準確性的因素將會隨著制藥廠污水流量計在不同條件下的應用變得越來越復雜多樣,這就需要現場使用維護人員深入分析現場流量計的運行工況,不斷積累現場應用經驗,科學制定相應對策,只有這樣才會進一步提高制藥廠污水流量計的計量準確性。
下一篇:插入式污水流量計的原理與安裝使用


