涉及甲苯流量計霍爾效應問題易錯點的剖析
點擊次數:2510 發布時間:2021-01-03 08:35:38
摘要:介紹了學生學習霍爾效應中的幾個易錯點:不同電性載流子對甲苯流量計霍爾電壓的影響,現代科技中利用霍爾效應原理器材間的區別與聯系等,通過剖析,理順原理與關系。
涉及甲苯流量計的霍爾效應的問題,是近幾年高考物理命題的一個熱點。由于它與現代科技應用聯系緊密,是考查學生運用物理知識解決實際問題能力的好素材。但教學中發現,學生對甲苯流量計的霍爾效應問題的理解存在一些誤區,因而每當遇到此類問題時,常常錯誤百出,根據學生中存在的問題,可歸納為以下幾種情況。易錯點1:正、負載流子對霍爾電壓的影響霍爾效應中,霍爾電壓的正負與載流子的電性有關,不像金屬導體,移動的只是電子,它有多種情形。
情形1:單種載流子。如圖1所示,若載流子帶正電荷,則載流子在洛倫茲力作用下會向下偏轉,導體下表面積累正電荷。同時,上表面失去正電荷而帶上負電,從而使下表面電勢高于上表面。

反之,如圖2所示,若載流子帶負電荷,則載流子在洛倫茲力作用下會向下偏轉,導體下表面積累負電荷。同時,上表面失去負電荷而帶上正電,從而使上表面電勢高于下表面。

可見,在磁場、電流方向相同的情況下,單種載流子電性相反,則上下表面的電勢高低也相反。
情形2:正、負載流子反向運動。如圖3所示,長方體玻璃水槽中盛有NaCl的水溶液,水槽左、右側壁內側各裝一導體片,在溶液中通入水平向右的電流,勻強磁場B垂直紙面向外。NaCl溶液中既有正離子,又有負離子,根據左手定則可判斷正離子受到向下的洛倫茲力,故向下運動并堆積。同理,負離子也受到指向下的洛倫茲力,也向下運動并堆積。由于正負離子均向下側面堆積,故上下兩側面的電勢均為零,但下側面處離子濃度大于上側面離子濃度。

情形3:正、負載流子同向運動。如圖4所示,為了監測某化工廠的污水排放量,技術人員在排污管末端安裝了流量計。上下兩內側面分別固定有金屬板作為電極,污水充滿管口從左向右流經該裝置。污水向右流動,污水中既有正離子,又有負離子,在磁場的作用下,根據左手定則,正離子往下表面偏,負離子往上表面偏,故下表面的電勢比上表面高。

情形2和情形3對比發現,同樣有兩種電性相反的載流子,由于運動方向不同,結果也完全不同。可見,在分析甲苯流量計霍爾電壓的問題時,*先應明確載流子的電性和運動方向,在此基礎上才能正確判斷其受力方向和偏轉方向,進而確定電勢的高低。
易錯點2:磁強計、甲苯流量計、磁流體發電機、霍爾元件間的區別與聯系磁強計、甲苯流量計、磁流體發電機、霍爾元件都是利用電磁場對帶電粒子的偏轉效應,并且穩定時電場力與磁場力均達到平衡。很多學生容易將其混淆,遇到問題常常搞不清原理,亂代公式,筆者特將4者涉及的公式及特點等做一對比區別如表1所示。

易錯點3:兩極板間的電場強度E=U/d中的U到底是電勢差還是電動勢?
粒子偏轉后,若兩極板間聚集等量的異種電荷,相當于一個電源,板間形成電場。穩定時,F電=F磁。若與外電路接通,計算板間場強大小時,其U指電勢差還是電動勢?此時F電和F磁還相等嗎?以下題為例。

【例1】圖5為磁流體發電機示意圖。設兩金屬板間的距離為d,兩極板間勻強磁場的磁感應強度為B。等離子體垂直進入磁場的速度為v,單個離子所帶的電荷量為q。離子通道(即兩極板內所圍成的空間)的等效電阻為r,負載電阻為R。則下列判斷正確的是( )
A。該發電機的電動勢E=Bdv
B。電阻R兩端的電壓為Bdv
C。該發電機的輸出功率為P=(B2d2v2)/R
D。兩板間的電場強度E=Bv
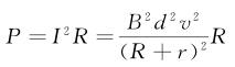
筆者發現,學生對選項A和B問題不大,根據平衡條件和部分電路歐姆定律即可得出A對,B錯。C容易出錯,疏忽了發電機的內電阻,發動機的輸出功率:

選項D很糾結,究其原因,是對離子的受力情況和運動情況分析不透。
當外接電阻時,電荷在外電路中定向移動,板上電量減少,板間電壓減小,電場減弱,F電<F磁。帶電粒子朝著磁場力的方向偏轉,此時有新電荷不斷補充到兩極板,形成一種動態平衡。由Eq<qvB可得,兩板間的電勢差U<Bdv,故電場強度E<Bv。選項D錯。
可見,只有未接外電路時,兩板間的電場強度E=Bv才成立。
通過以上歸類、對比和總結,幫助學生理清不同電性載流子對霍爾電勢差正負的影響,正確理解科技領域涉及甲苯流量計霍爾效應的測量儀器的原理及相互聯系,同時理清元件中涉及的各物理量間的關系,有助于學生更靈活地運用所學知識。
總之,在教學過程中善于發現、總結學生的易錯點,并設計針對性的教學環節,引導學生進行分析與討論,是提高課堂教學效率的有效途徑之一。
涉及甲苯流量計的霍爾效應的問題,是近幾年高考物理命題的一個熱點。由于它與現代科技應用聯系緊密,是考查學生運用物理知識解決實際問題能力的好素材。但教學中發現,學生對甲苯流量計的霍爾效應問題的理解存在一些誤區,因而每當遇到此類問題時,常常錯誤百出,根據學生中存在的問題,可歸納為以下幾種情況。易錯點1:正、負載流子對霍爾電壓的影響霍爾效應中,霍爾電壓的正負與載流子的電性有關,不像金屬導體,移動的只是電子,它有多種情形。
情形1:單種載流子。如圖1所示,若載流子帶正電荷,則載流子在洛倫茲力作用下會向下偏轉,導體下表面積累正電荷。同時,上表面失去正電荷而帶上負電,從而使下表面電勢高于上表面。

反之,如圖2所示,若載流子帶負電荷,則載流子在洛倫茲力作用下會向下偏轉,導體下表面積累負電荷。同時,上表面失去負電荷而帶上正電,從而使上表面電勢高于下表面。

可見,在磁場、電流方向相同的情況下,單種載流子電性相反,則上下表面的電勢高低也相反。
情形2:正、負載流子反向運動。如圖3所示,長方體玻璃水槽中盛有NaCl的水溶液,水槽左、右側壁內側各裝一導體片,在溶液中通入水平向右的電流,勻強磁場B垂直紙面向外。NaCl溶液中既有正離子,又有負離子,根據左手定則可判斷正離子受到向下的洛倫茲力,故向下運動并堆積。同理,負離子也受到指向下的洛倫茲力,也向下運動并堆積。由于正負離子均向下側面堆積,故上下兩側面的電勢均為零,但下側面處離子濃度大于上側面離子濃度。

情形3:正、負載流子同向運動。如圖4所示,為了監測某化工廠的污水排放量,技術人員在排污管末端安裝了流量計。上下兩內側面分別固定有金屬板作為電極,污水充滿管口從左向右流經該裝置。污水向右流動,污水中既有正離子,又有負離子,在磁場的作用下,根據左手定則,正離子往下表面偏,負離子往上表面偏,故下表面的電勢比上表面高。

情形2和情形3對比發現,同樣有兩種電性相反的載流子,由于運動方向不同,結果也完全不同。可見,在分析甲苯流量計霍爾電壓的問題時,*先應明確載流子的電性和運動方向,在此基礎上才能正確判斷其受力方向和偏轉方向,進而確定電勢的高低。
易錯點2:磁強計、甲苯流量計、磁流體發電機、霍爾元件間的區別與聯系磁強計、甲苯流量計、磁流體發電機、霍爾元件都是利用電磁場對帶電粒子的偏轉效應,并且穩定時電場力與磁場力均達到平衡。很多學生容易將其混淆,遇到問題常常搞不清原理,亂代公式,筆者特將4者涉及的公式及特點等做一對比區別如表1所示。

易錯點3:兩極板間的電場強度E=U/d中的U到底是電勢差還是電動勢?
粒子偏轉后,若兩極板間聚集等量的異種電荷,相當于一個電源,板間形成電場。穩定時,F電=F磁。若與外電路接通,計算板間場強大小時,其U指電勢差還是電動勢?此時F電和F磁還相等嗎?以下題為例。

【例1】圖5為磁流體發電機示意圖。設兩金屬板間的距離為d,兩極板間勻強磁場的磁感應強度為B。等離子體垂直進入磁場的速度為v,單個離子所帶的電荷量為q。離子通道(即兩極板內所圍成的空間)的等效電阻為r,負載電阻為R。則下列判斷正確的是( )
A。該發電機的電動勢E=Bdv
B。電阻R兩端的電壓為Bdv
C。該發電機的輸出功率為P=(B2d2v2)/R
D。兩板間的電場強度E=Bv
筆者發現,學生對選項A和B問題不大,根據平衡條件和部分電路歐姆定律即可得出A對,B錯。C容易出錯,疏忽了發電機的內電阻,發動機的輸出功率:

選項D很糾結,究其原因,是對離子的受力情況和運動情況分析不透。
當外接電阻時,電荷在外電路中定向移動,板上電量減少,板間電壓減小,電場減弱,F電<F磁。帶電粒子朝著磁場力的方向偏轉,此時有新電荷不斷補充到兩極板,形成一種動態平衡。由Eq<qvB可得,兩板間的電勢差U<Bdv,故電場強度E<Bv。選項D錯。
可見,只有未接外電路時,兩板間的電場強度E=Bv才成立。
通過以上歸類、對比和總結,幫助學生理清不同電性載流子對霍爾電勢差正負的影響,正確理解科技領域涉及甲苯流量計霍爾效應的測量儀器的原理及相互聯系,同時理清元件中涉及的各物理量間的關系,有助于學生更靈活地運用所學知識。
總之,在教學過程中善于發現、總結學生的易錯點,并設計針對性的教學環節,引導學生進行分析與討論,是提高課堂教學效率的有效途徑之一。


