稀硝酸專用流量計的優勢及在使用中刻度轉換問題的實例分析
點擊次數:2424 發布時間:2020-08-12 09:31:23
稀硝酸專用流量計的產品優勢:
稀硝酸專用流量計在目前的生產和生活中應用得已經較為廣泛,由于測量原理的差異,相比較其他類型的流量儀表,稀硝酸專用流量計還有特獨的優勢,為了讓它穩定的工作,用戶應將它安裝在無強電、無磁場干擾的環境中,本文就此跟大家作一個分享。稀硝酸專用流量計的優勢表現為以下幾下方面:
1、耐高溫、耐高壓、耐腐蝕
可測量高溫、高壓流體是稀硝酸專用流量計具有的主要優點,它能測量溫度高達400℃和壓力*高為70MPa的液體和氣體流量。在這種場合下已不能用人眼來觀察浮子的位置,而采用磁耦耐腐型感應的顯示系統指示流量。流量計本身材料往往采用優質不銹鋼,有些襯以工程塑料,可測量腐蝕性流體。
2、應用范圍廣
可根據流量工藝參數要求進行靈活設計。例如,在低溫條件下,若介質趨向于結晶和凝固,或為防止,低溫流體從外部吸熱,或當管路中溫度高于室溫的流體流過儀表,因溫度下降產生而引起浮子動作不良、或流體粘度有顯著變化影響測量的特種需求,可采用夾套保溫設計的流量計;流量脈動較大的,可選用有阻尼措施的流量計。
3、用于測量的部分可選用不同的材質來適應不同場合的需求。
4、因其良好的抗熱性和耐壓性可以在惡劣的環境中應用。
5、采用新型磁耦合結構設計使得傳輸信號更加穩定,提高了工作效率。
關于稀硝酸專用流量計的刻度檢定問題的說明:
稀硝酸專用流量計的刻度一般是在出廠時用水、空氣或者其他介質在標準狀態下進行標定的;另外,在實驗室的檢定過程中,由于環境影響以及實驗條件的限制,實際檢定條件一般也達不到流量計標定狀態,因此為了能夠在實驗室狀態對流量計進行檢定,就需要對實驗條件下標定的流量計進行刻度流量的換算。
1、工作原理
稀硝酸專用流量計是在一個錐形管內裝有上下移動的浮子,并且始終保持浮子前后壓降不變,通過改變浮子與錐形管壁之間的流通面積來改變流量,因此也稱為恒壓降流量計或變面積流量計 。當流體流經錐形管時,由于浮子的節流降壓作用,在浮子的上下游產生一個壓力降,此壓力降與浮子*大截面積的乘積即為浮子受到的上升力,同時由于被測流體流經浮子表面時也會產生粘性力,其方向與上升力相同,當兩者的合力大于浮子的自重力時,浮子便會繼續上升;然而隨著浮子的上升浮子與錐形管壁之間的環隙面積的增大,相同流量下流體流速便會減小,浮子上下端面的壓力差隨即會降低,因此作用于浮子的上升力與粘性力減小。在浮子移動過程中,當上升力、粘性力和重力相平衡時浮子便會靜止,保持在平衡位置,此時便可以讀出浮子的瞬時流量值。這就是稀硝酸專用流量計工作的基本原理—等壓力降原理。
2、流量方程
當流體流經稀硝酸專用流量計錐形管時,浮子的上升高度與流量存在一定的對應關系。在一定流量下浮子受合力為零,保持在平衡位置,根據力平衡進行分析:(1)浮子受到的上升力F1。浮子上下游壓力差&p與環形通道中流體流速的平方成正比:

因此浮子所受上升力為

式中Af 為浮子的迎流面積,單位為m2,u 為流體的流速,單位為m/s, r 為流體密度,單位為kg/m,C 為阻力系數,無量綱,受介質粘度以及浮形狀等因素影響。(2)浮子所受浮力是流體密度與浮子體積的函數,有

,式中:f V 為浮子的體積,單位為m,g 為當地重力加速度,單位為m/s2。
(3)浮子的自重

當浮子受合力為零時處于平衡位置,有

進而得到

可以看出,浮子無論在什么位置保持平衡,流體的流速是個定值,因此,體積流量與環形流通面積成正比。則有體積流量計算公式:

其中: V q —體積流量,單位m/h;DF —流量計的環形流通面積,單位為m2。
3、刻度轉換方法
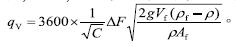
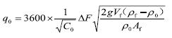
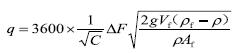
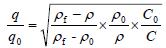
標準狀態下標定的稀硝酸專用流量計的介質密度、阻力系數、體積流量分別用0 、0 C 、q0 表示,則體積流量可表示為

實際標定介質的密度、浮子阻力系數、體積流量用C 、q 表示,則體積流量為

因此,實際標定介質的體積流量與標準狀態下介質的體積流量之間有下述關系:

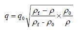
當標準狀態下的標定介質與實際標定時介。質狀況比較接近,因此粘度相差不大時,可以不考慮浮子阻力系數的影響。因此有:

4、刻度轉換實例分析
實驗室現有一臺DN50 口徑,準確度等級為4.0 級,浮子材料為不銹鋼,標準狀態(20℃)下標定介質為乙醇的稀硝酸專用流量計,其刻度流量范圍為(2~20)m/h。在實驗室條件下,由于條件限制只能用水流量標準裝置進行標定,裝置編號200904018,測量范圍為DN(15~50)mm,流量范圍為(0.12~60)m/h,先后使用標準表法和稱重法對該稀硝酸專用流量計的5m/h 流量點分別進行6 次標定。測量過程中水溫保持(23.1±0.1)℃,進水口處水壓保持在180kPa~195kPa 范圍。裝置使用標準表為電磁流量計,*一次測量標準表讀數為3.914 m/h,*二次為3.918 m/h,*三次為3.917 m/h,*四次為3.920m/h,*五次為3.919 m/h,*六次為3.916 m/h。稱重法測量6次的數據分別為:*一次測量時間為61.28 秒,電子稱讀數為67.64kg,*二次測量時間為62.33 秒,電子稱讀數為68.08kg,*三次測量時間為61.99 秒,電子稱讀數為67.96kg,*四次測量時間為62.57 秒,電子稱讀數為68.44kg,*五次測量時間為62.45 秒,電子稱讀數為68.42kg,*六次測量時間為61.29 秒,電子稱讀數為67.69kg。
通過查技術手冊可知,乙醇密度為789.2kg/m,20℃時乙醇粘度為1.2×10-3Pa·s,水溫為23.1℃時水的密度為997.513kg/m,動力粘度為0.9358×10-3Pa·s,浮子材料為不銹鋼,密度為7920kg/m。
當浮子穩定在平衡位置5m/h 處時,由標準表讀數得出流量平均值為q1=3.92m/h。由電子稱的讀數得出稱重法流量平均值為q2=3.96m/h。另外,兩種介質的粘度相差不大,因此可以不考慮兩種介質中浮子的阻力系數對流量的影響,另外還可以推算出刻度流量的理論計算值為:

由于該稀硝酸專用流量計的準確度等級為4.0 級,因此在5m/h 流量點換算后的流量取值范圍為3.84×(1±4%)m/h,即(3.69~3.99)m/h。通過上述實驗以及對試驗數據的分析可知,在介質粘度相差不大時,可以對稀硝酸專用流量計刻度流量進行換算,其實驗結果滿足理論計算值的允許范圍。但是當實際標定的介質與流量計出廠標定時介質狀態相差較大時,浮子阻力系數的影響不能忽略,則需要考慮介質粘度的影響。
稀硝酸流量計如何正確選型
硝酸流量計的原理圖
濃硝酸電磁流量計指示波動原因分析
硝酸電磁流量計用什么電極
濃硝酸流量計
濃硝酸流量計廠家
選用濃硝酸流量計要考慮的因素及影響測量精度的因素
硝酸銀流量計,硝酸流量計價格
硝酸銀流量計,硝酸鈉流量計
硝酸銀流量計廠家
硝酸鈉流量計
各種易粘易堵強腐蝕性液體對硝酸銀流量計精度的影響
發煙硝酸流量計,稀硝酸流量計選型
耐硝酸流量計,硝酸專用流量計價格
發煙硝酸流量計,耐硝酸流量計廠家
稀硝酸專用流量計,硝酸電磁流量計
硝酸流量計量表,硝酸流量計價格
發煙硝酸流量計,硝酸電磁流量計
硝酸管道流量計,硝酸流量計量表
耐硝酸流量計,硝酸流量計量表
硝酸流量計量表
如何有效排查及處理硝酸流量計出現的故障
硝酸流量計價格
發煙硝酸流量計
硝酸管道流量計
硝酸電磁流量計
硝酸流量計量表廠家
稀硝酸專用流量計
耐硝酸流量計
硝酸流量計價格,硝酸流量計量表
稀硝酸專用流量計在目前的生產和生活中應用得已經較為廣泛,由于測量原理的差異,相比較其他類型的流量儀表,稀硝酸專用流量計還有特獨的優勢,為了讓它穩定的工作,用戶應將它安裝在無強電、無磁場干擾的環境中,本文就此跟大家作一個分享。稀硝酸專用流量計的優勢表現為以下幾下方面:
1、耐高溫、耐高壓、耐腐蝕
可測量高溫、高壓流體是稀硝酸專用流量計具有的主要優點,它能測量溫度高達400℃和壓力*高為70MPa的液體和氣體流量。在這種場合下已不能用人眼來觀察浮子的位置,而采用磁耦耐腐型感應的顯示系統指示流量。流量計本身材料往往采用優質不銹鋼,有些襯以工程塑料,可測量腐蝕性流體。
2、應用范圍廣
可根據流量工藝參數要求進行靈活設計。例如,在低溫條件下,若介質趨向于結晶和凝固,或為防止,低溫流體從外部吸熱,或當管路中溫度高于室溫的流體流過儀表,因溫度下降產生而引起浮子動作不良、或流體粘度有顯著變化影響測量的特種需求,可采用夾套保溫設計的流量計;流量脈動較大的,可選用有阻尼措施的流量計。
3、用于測量的部分可選用不同的材質來適應不同場合的需求。
4、因其良好的抗熱性和耐壓性可以在惡劣的環境中應用。
5、采用新型磁耦合結構設計使得傳輸信號更加穩定,提高了工作效率。
關于稀硝酸專用流量計的刻度檢定問題的說明:
稀硝酸專用流量計的刻度一般是在出廠時用水、空氣或者其他介質在標準狀態下進行標定的;另外,在實驗室的檢定過程中,由于環境影響以及實驗條件的限制,實際檢定條件一般也達不到流量計標定狀態,因此為了能夠在實驗室狀態對流量計進行檢定,就需要對實驗條件下標定的流量計進行刻度流量的換算。
1、工作原理
稀硝酸專用流量計是在一個錐形管內裝有上下移動的浮子,并且始終保持浮子前后壓降不變,通過改變浮子與錐形管壁之間的流通面積來改變流量,因此也稱為恒壓降流量計或變面積流量計 。當流體流經錐形管時,由于浮子的節流降壓作用,在浮子的上下游產生一個壓力降,此壓力降與浮子*大截面積的乘積即為浮子受到的上升力,同時由于被測流體流經浮子表面時也會產生粘性力,其方向與上升力相同,當兩者的合力大于浮子的自重力時,浮子便會繼續上升;然而隨著浮子的上升浮子與錐形管壁之間的環隙面積的增大,相同流量下流體流速便會減小,浮子上下端面的壓力差隨即會降低,因此作用于浮子的上升力與粘性力減小。在浮子移動過程中,當上升力、粘性力和重力相平衡時浮子便會靜止,保持在平衡位置,此時便可以讀出浮子的瞬時流量值。這就是稀硝酸專用流量計工作的基本原理—等壓力降原理。
2、流量方程
當流體流經稀硝酸專用流量計錐形管時,浮子的上升高度與流量存在一定的對應關系。在一定流量下浮子受合力為零,保持在平衡位置,根據力平衡進行分析:(1)浮子受到的上升力F1。浮子上下游壓力差&p與環形通道中流體流速的平方成正比:

因此浮子所受上升力為

式中Af 為浮子的迎流面積,單位為m2,u 為流體的流速,單位為m/s, r 為流體密度,單位為kg/m,C 為阻力系數,無量綱,受介質粘度以及浮形狀等因素影響。(2)浮子所受浮力是流體密度與浮子體積的函數,有

,式中:f V 為浮子的體積,單位為m,g 為當地重力加速度,單位為m/s2。
(3)浮子的自重

當浮子受合力為零時處于平衡位置,有

進而得到

可以看出,浮子無論在什么位置保持平衡,流體的流速是個定值,因此,體積流量與環形流通面積成正比。則有體積流量計算公式:

其中: V q —體積流量,單位m/h;DF —流量計的環形流通面積,單位為m2。
3、刻度轉換方法
標準狀態下標定的稀硝酸專用流量計的介質密度、阻力系數、體積流量分別用0 、0 C 、q0 表示,則體積流量可表示為

實際標定介質的密度、浮子阻力系數、體積流量用C 、q 表示,則體積流量為

因此,實際標定介質的體積流量與標準狀態下介質的體積流量之間有下述關系:

當標準狀態下的標定介質與實際標定時介。質狀況比較接近,因此粘度相差不大時,可以不考慮浮子阻力系數的影響。因此有:

4、刻度轉換實例分析
實驗室現有一臺DN50 口徑,準確度等級為4.0 級,浮子材料為不銹鋼,標準狀態(20℃)下標定介質為乙醇的稀硝酸專用流量計,其刻度流量范圍為(2~20)m/h。在實驗室條件下,由于條件限制只能用水流量標準裝置進行標定,裝置編號200904018,測量范圍為DN(15~50)mm,流量范圍為(0.12~60)m/h,先后使用標準表法和稱重法對該稀硝酸專用流量計的5m/h 流量點分別進行6 次標定。測量過程中水溫保持(23.1±0.1)℃,進水口處水壓保持在180kPa~195kPa 范圍。裝置使用標準表為電磁流量計,*一次測量標準表讀數為3.914 m/h,*二次為3.918 m/h,*三次為3.917 m/h,*四次為3.920m/h,*五次為3.919 m/h,*六次為3.916 m/h。稱重法測量6次的數據分別為:*一次測量時間為61.28 秒,電子稱讀數為67.64kg,*二次測量時間為62.33 秒,電子稱讀數為68.08kg,*三次測量時間為61.99 秒,電子稱讀數為67.96kg,*四次測量時間為62.57 秒,電子稱讀數為68.44kg,*五次測量時間為62.45 秒,電子稱讀數為68.42kg,*六次測量時間為61.29 秒,電子稱讀數為67.69kg。
通過查技術手冊可知,乙醇密度為789.2kg/m,20℃時乙醇粘度為1.2×10-3Pa·s,水溫為23.1℃時水的密度為997.513kg/m,動力粘度為0.9358×10-3Pa·s,浮子材料為不銹鋼,密度為7920kg/m。
當浮子穩定在平衡位置5m/h 處時,由標準表讀數得出流量平均值為q1=3.92m/h。由電子稱的讀數得出稱重法流量平均值為q2=3.96m/h。另外,兩種介質的粘度相差不大,因此可以不考慮兩種介質中浮子的阻力系數對流量的影響,另外還可以推算出刻度流量的理論計算值為:

由于該稀硝酸專用流量計的準確度等級為4.0 級,因此在5m/h 流量點換算后的流量取值范圍為3.84×(1±4%)m/h,即(3.69~3.99)m/h。通過上述實驗以及對試驗數據的分析可知,在介質粘度相差不大時,可以對稀硝酸專用流量計刻度流量進行換算,其實驗結果滿足理論計算值的允許范圍。但是當實際標定的介質與流量計出廠標定時介質狀態相差較大時,浮子阻力系數的影響不能忽略,則需要考慮介質粘度的影響。
上一篇:如何選擇合適的遠程控制冷水流量計和開關提高測量精確性


